Chargement…
Ce site est optimisé pour être consulté depuis un navigateur moderne dans lequel JavaScript est activé.
Une erreur est survenue lors du chargement de la version complète de ce site. Veuillez vider le cache de votre navigateur et rafraîchir cette page pour tenter de corriger cette erreur.
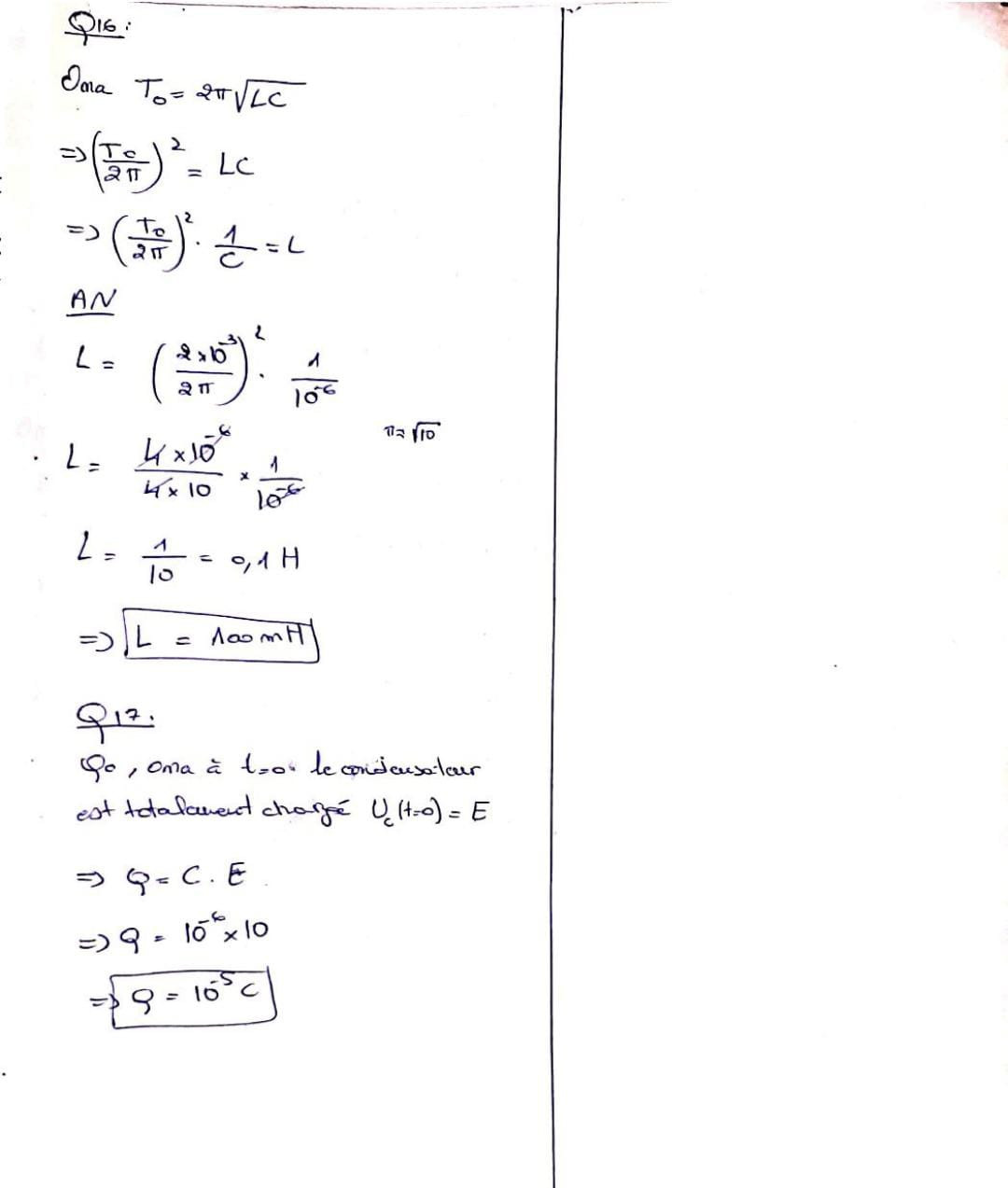
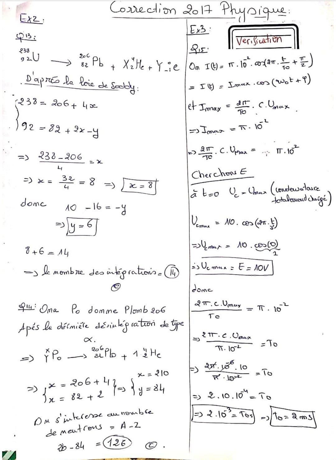
FMP (Maths, Physique, Chimie et SVT) Rabat 2017
Aguida1
Abderrahnane